Medical Journal Censorship Is The Proximate Cause of the Covid Vaccine Catastrophe
Here I document the brazen censoring behaviors of numerous major medical journals attempting to prop up the "safe and effective" narrative despite mountains of evidence to the contrary.
In this post, I want to further the historical record of massive censoring actions by medical journals on the unprecedented adverse vaccine data of the Covid vaccines. A Midwestern Doctor, my colleague and friend, has done a masterful job of detailing that history in regard to small pox, polio, HPV and many other aspects of childhood vaccines. Never forget the Cutter incident, where officials covered up the fact they were distributing contaminated and deadly polio vaccines:
The Cutter incident was one of the worst pharmaceutical disasters in US history, and exposed several thousand children to live polio virus on vaccination.[3] The NIH Laboratory of Biologics Control, which had certified the Cutter polio vaccine, had received advance warnings of problems: in 1954, staff member Bernice Eddy had reported to her superiors that some inoculated monkeys had become paralyzed and provided photographs. William Sebrell, the director of NIH, rejected the report.[4]
The censoring of Eddy’s report led to:
120,000 doses of polio vaccine that contained live polio virus.
40,000 children recipients developed abortive poliomyelitis
56 developed paralytic poliomyelitis—and of these, 5 children died from polio
exposures led to an epidemic of polio in the families and communities of the affected children, resulting in a further 113 people paralyzed and 5 deaths.
Thus, censorship of adverse vaccine data is not new but the deadly impacts of the polio vaccines is nowhere near the scope and scale of the current mRNA vaccine catastrophe.
Of those who, like me, started studying the dangers of Covid gene therapy “vaccines”, many then moved on to learn about the rest of the childhood vaccine schedule by reading “Turtles All The Way Down: Vaccine Science and Myth.
That book exposes decades of censoring of both the acute and chronic illnesses caused by the ever-expanding CDC schedule with its pragmatic but unscientific clumping of numerous vaccine administrations on a single day, an intervention that has never been tested for safety. That book also exposes the biggest myth about vaccines which is that deaths from the illnesses they protect against had been nearly eradicated through improvements in sanitation and hygiene (and antibiotics) before the vaccine for that particular disease was even developed! Note the corresponding decrease in TB and Scarlet fever mortality, two diseases for which there is no vaccine to date:
My first post on this topic of censoring adverse vaccine data began with exposing the media and the result of their censoring - e.g. the story of my meeting with a “system pathologist” who did not know what the spike protein was (interestingly, that was one of my most popular posts to date).
In this post, I will detail how the toxicity and lethality of the mRNA vaccines has been suppressed through pervasive academic medical journal censorship.
A brilliant Substack post on this same issue was just written by Nicholas Hulscher, MPH on Peter McCullough’s Substack on November 1 (this post has been in draft form for a long time and I was working on it this weekend when I came across his article).
He tells the story of several papers that have been unfairly retracted in violation of retraction guidelines. One paper he highlighted was his own which was titled “A Systematic Review of Autopsy Findings in Deaths after COVID-19 Vaccination.” It was removed from The Lancet’s preprint server, probably because of its conclusion: “A total of 240 deaths (73.9%) were independently adjudicated as directly due to or significantly contributed to by COVID-19 vaccination.”
The case of his retracted paper provides an example of a tactic used by what he calls “the Cartel” (the International Association of Scientific, Technical, and Medical Publishers). He cited this article from September which details a recent lawsuit filed against the Cartel for “tremendous damage to science and the public interest.”
Since the rollout of the Covid mRNA “vaccines" numerous papers have been published showing tight, temporally associated increased rates of diseases and/or deaths associated with it. They have nearly all been retracted. Meanwhile, absurdly flawed or statistically manipulated papers concluding safety and efficacy (even in pregnant women) have been published in high impact journals.
Remember the absurd Lancet “mathematical modeling study” which claimed the campaign saved 20 million lives? Is that why excess mortality started to worsen across the world in 2021 and persists today? Interestingly, one exception to the censoring of negative vaccine studies is case reports of injuries - those they have let through by the thousands. At last count some months ago, my colleague Ashmedai who writes “Resisting the Intellectual Literati” had compiled over 3,600 case reports of illness and death caused by the mRNA vaccines. This is, as Paul Marik would say, “truly astonishing” for any medical product. Unheard of in fact. Almost 4,000 reports of injuries, many of them serious or fatal, and the campaign just rolls on?
In the article “The Disinformation Playbook,” by the Union of Concerned Scientists they describe 5 tactics used by the pharmaceutical industry to “counter science inconvenient to industry interests.” The first tactic is called “the Fix” and is described as below:
Does that aptly describe what I wrote about above? Know that the article was published in 2017, long before Covid. But at the time, they cited 4 case studies where companies from different industries did the above:
In each case, industry actions caused an immense amount of deaths, the most quantifiable being Merck’s Vioxx scandal whereby they hid and suppressed evidence of massive amounts of heart attacks and strokes. One shocking detail about the Vioxx case was when one expert’s testimony in court described the number of deaths from Vioxx as “equivalent to 4 jumbo jetliners crashing every week for 5 years.” Let that sink in for a second.
Merck also attacked doctors trying to call attention to that fact, another Disinformation tactic called “The Blitz”).
I am personally familiar with the Blitz via my “advocacy” (ugh) of ivermectin in Covid leading to endless major media and social media attacks as well as the revocation of my Board certifications and the loss of several jobs.
Merck ended up paying $4.85 billion to settle the criminal and civil claims. However, they had annual sales of $2.5 Billion in the approximately 5 years leading up to that. So, a win for Merck?
Lets start by asking the question, “How does Big Pharma control medical journals?” Answer: with money! One of the main ways that Pharma money influences the journals is via the purchasing of; 1) advertising and 2) “reprints.” Big money. But the influence doesn’t start or end there. They also pay for:
Funding of clinical trials - journals rely on these trials to publish studies
Ghostwriting -they employ ghostwriters to write up studies so as to hide association
From my Brave Browser AI response to the question “How profitable are medical journals?”
Ultimately, all that Pharma money undoubtedly leads to… Editorial control. One example was published by the former Editor of one of the top journals in the world, the British Medical Journal (BMJ), where he includes this anecdote and cartoon:
First know that these journal censoring actions equally applied to the suppression of efficacy of early treatments. I know this firsthand from my own experience publishing my ivermectin review paper in early 2021 when, after passing through three rounds of rigorous peer review by three high-level government scientists and a clinical expert at Frontiers in Pharmacology, it was retracted with nearly no explanation.
What happened was that after my paper was accepted, weeks and weeks passed without it being published (it was an online journal and I had paid the publishing fee to make it “open access.”) Meanwhile, during those weeks, I was watching more people die of Covid than at any other time in the pandemic (winter 2021).
When I finally “lost it” by threatening a journal representative in an email that I would go public with an accusation of scientific misconduct against the journal, the editor of the special issue on Covid (Robert Malone) was quickly informed by the Editor in Chief that the paper was being retracted based on an anonymous 3rd party peer reviewer who recommended retraction because “the data did not support the conclusions.” We were never given a copy of this review. It was the first paper to be retracted amongst me and my co-authors in a cumulative 120 years of academia and publishing. When they later went further and retracted Robert Malone’s papers, he and the other editors of the issue resigned as detailed in the below article.
In hindsight, it was a naive idea to put together a special issue on “the use of available drugs in Covid” given that available, repurposed drugs are the Achilles heel of the entire pharmaceutical industry. Although I republished it some months later, the damage to humanity and to my reputation was already done. Good times.
According to the website Retraction Watch, there are currently 450 papers on Covid-19 that have been retracted. The vast majority of retracted Covid-19 papers after the mRNA campaign roll-out had “negative conclusions” and some were even retracted off of pre-print servers.
Know that the stories behind each retraction are nearly identical to my own with ivermectin above. Essentially, a paper with data and/or analysis which concludes grave harms from the mRNA jabs gets submitted, passes peer review, and soon after publication, the editorial team concocts some story of “concerns” with the analysis and retracts it.
As per the Disinformation tactic called “the Fix”, journals also employ other methods like simply rejecting such papers, or, more devastating is when they “hold the paper hostage.” What does that mean? Basically, in academia, the scientific publishing Cartel mentioned above has a rule that you cannot submit to more than one journal at a time to avoid duplicate peer review (which is voluntary and would consume excessive time among peer reviewers).
The problem is that peer review takes months, so journals sometimes delay that process maliciously before eventually rejecting the paper. At that point, many months have passed (and even more will be required to submit to another journal and undergo a 2nd peer review). Thus, the “delayed” findings can no longer impact policy or knowledge during critical periods like a pandemic. Once and if eventually published, oftentimes the policy (i.e. mass mRNA vaccination) has already been implemented and the data does little to reverse it. This practice is actually one of the issues that the lawsuit against the science journal Cartel is about.
This tactic was deployed repeatedly in the case of the most effective drug against Covid, a medicine called proxalutamide. My close friend and colleague from Brazil, Dr. Flavio Cadegiani, had his wickedly positive, large, high-quality, double-blind placebo controlled studies held hostage by three different high impact journals, causing years to go by before publication. I chronicled his story in a Substack series I wrote called “The High-Impact Medical Journal Editors Harassment Of The World's Leading Clinical Researcher of Repurposed Drugs in the COVID Pandemic.” Here are the links to Part 1, Part 2, and Part 3. If you read that series of posts, you will come to the awful realization that, like with the cases of hydroxychloroquine and ivermectin, millions died around the world as a result of the suppression of the data showing proxalutamide’s incredible efficacy in Covid.
A more recent example of a paper being “held hostage” is that of a clinical shedding study where the authors exposed an unknown number of unvaccinated women to women recently mRNA vaccinated to assess whether the exposed women would develop typical vaccine adverse effects. Since I have not been able to read the paper, I don’t know how many women were exposed or what the method of exposure was, but I was informed by a colleague that they were told there was a significant number of unvaccinated women who developed typical side effects of the mRNA vaccines after close exposure to women who were recently vaccinated. I learned from one of the authors that the first journal they submitted to held the paper hostage for about a year before rejecting and now it is undergoing a more rapid review and publication with a “friendlier” (i.e. lower tier) journal. She is optimistic it will be published soon. We will see.
In regard to the vaccines, one of the earliest and most memorable retractions was the VAERS analysis by Jessica Rose and Peter McCullough showing massively increased rates of myocarditis caused by the Covid jabs. You have to go to the Wayback machine to find it here.
In the case of Jessica and Peter, the editor did not even give a reason, they just claimed they had a “right to do it” so they did. Shocking. The Retraction Watch website’s summary of the case is here. Worth a read.
An even more shocking fact about retracted Covid papers is that, like Jessica and Peter’s paper, in 32% of cases, the journal.. gave no reason for the retraction. What? How is that possible or allowed? Further, not one retraction of the vaccine papers in this post met the COPE guidelines for such an action.
More recently, a comprehensive review of the data from the original trials as well as numerous data sources subsequent to the rollout was published. Take a look at the authors, you might recognize some of their names:
The paper rightly concluded with this sentence:
“We urge governments to endorse a global moratorium on the modified mRNA products until all relevant questions pertaining to causality, residual DNA, and aberrant protein production are answered.”
What is weird about the subsequent retraction is that soon after it was originally published, one of the journal editors was interviewed about the paper and was asked whether “the track record of the authors concerned him.” His answer at that time:
The editor even took a shot at other journals:
This editor literally called out other journals for censoring their work solely based on the supposedly negative (“anti-vax”) reputations of some of the authors (e.g. ad-hominem attacks). However, despite that one editor’s original supportive answer, the journal quickly backtracked and retracted the paper based on a list of easily disprovable “concerns.” Retraction Watch also published a review of the case here.
However, what is little known is that co-author Steve Kirsch shared with me privately the (truly shocking) physical evidence he has which proves that the paper was retracted not on its merits (or supposed lack thereof) but rather was driven by an ad-hominem attack on the authors by several of the journal’s editorial team. The retraction was thus the result of a strong pro-vax personal bias on the editorial team and not the result of scientific flaws.
Another retraction was this paper by Jiang and Mei in Viruses where they found that spike protein (what the mRNA encodes for) impairs DNA damage repair in vitro. The NIH illegally redacted (not retracted) all 490 pages regarding discussions of the paper. It goes deep folks:
Although we are reviewing retractions, we can’t forget about rejections. One of the first papers in the world which found a tight association between vaccination rates and excess mortality was this paper by the expert statisticians Pantazatos and Seligmann:
I met Herve Seligmann on a Zoom conference call and he informed me that after 30 different rejections they stopped trying to publish. It still sits on a pre-print server today.
Another doozy of a retraction was the Mead et al paper below:
Peter McCullough, on his Substack wrote:
Mead and co-workers found themselves at the center of a controversy when Springer Nature CUREUS Journal of Biomedical Sciences retracted their paper calling for global market withdrawal of mRNA vaccines. The retraction violated the COPE (Committee on Publication Ethics Guidelines) for retraction and became a news story garnering even more attention. Other papers continued to cite Mead creating a stinging reverberation for Springer who was hoping to silence the paper.
Now epidemiologist M. Nathaniel Mead and six co-authors have punched back by republishing the manuscript divided into two parts for a greater depth of data and analysis on the safety and theoretical efficacy of modified mRNA COVID-19 vaccines. In Part I, Mead discloses censorship of the first paper by the Bio-Pharmaceutical Complex, a working syndicate that is hell-bent on suppressing any scientific information on COVID-19 side effects.
It is a good time to remind you that it wasn’t always this way and other approaches to “problematic” or “controversial” papers exist. Traditionally, that is done with critics writing “letters to the editor” which are published along with the defense of the criticisms from the authors. However, this new normal of censoring, although unethical, sometimes leads to massive publicity and republication with greater amplification of the message—precisely what the Bio-Pharmaceutical Complex is trying to squelch.
Another memorable retractions was the below paper by Walach et al., ‘The Safety of COVID-19 Vaccinations- We should Rethink the Policy.’ The main finding of the paper found: “For three deaths prevented by vaccination we have to accept two inflicted by vaccination.” Following its 24 June 2021 publication in Vaccines, several of the editors of the journal resigned in protest.
Even though this paper was successfully published later, Dr. Walach’s University immediately terminated him… in a tweet?
Retraction Watch reviewed the case here. Interestingly, the same author had another paper retracted because it reported that children’s masks trap too-high concentrations of carbon dioxide. Apparently the Cartel did not like that one either.
Another memorable retraction was that of Ronald Kostoff whose aptly titled paper “Why are we vaccinating children against Covid-19?” was retracted by Toxicology Reports after he had the courage to conclude that “there are five times the number of deaths attributable to each inoculation vs those attributable to COVID-19 in the most vulnerable 65+ demographic.” Even worse, he stated publicly that he “fully expected” the criticism and that the “real-world situation is far worse than our best-case scenario.” Whoa.
Another memorable retraction was the Skidmore paper where his analysis of survey data concluded the below:
The study went viral on Twitter after its publication which very quickly led to its retraction. Rebekah Burnett, a journalist, wrote a Substack post about the case which is both incredibly sad and predictable. This section stuck out:
I have to say though that the wall of censorship among journals may be beginning to show some cracks, recently penetrated by my two colleagues Jim Thorp and Peter McCullough with this alarming paper:
Although it is impressive that such a damning paper against the safety of the Covid-19 vaccines was published, two caveats are that; 1) it was literally just published (Nov. 24) so there has been little time to mobilize against it yet and 2) it was published in a journal that I have never heard of before.
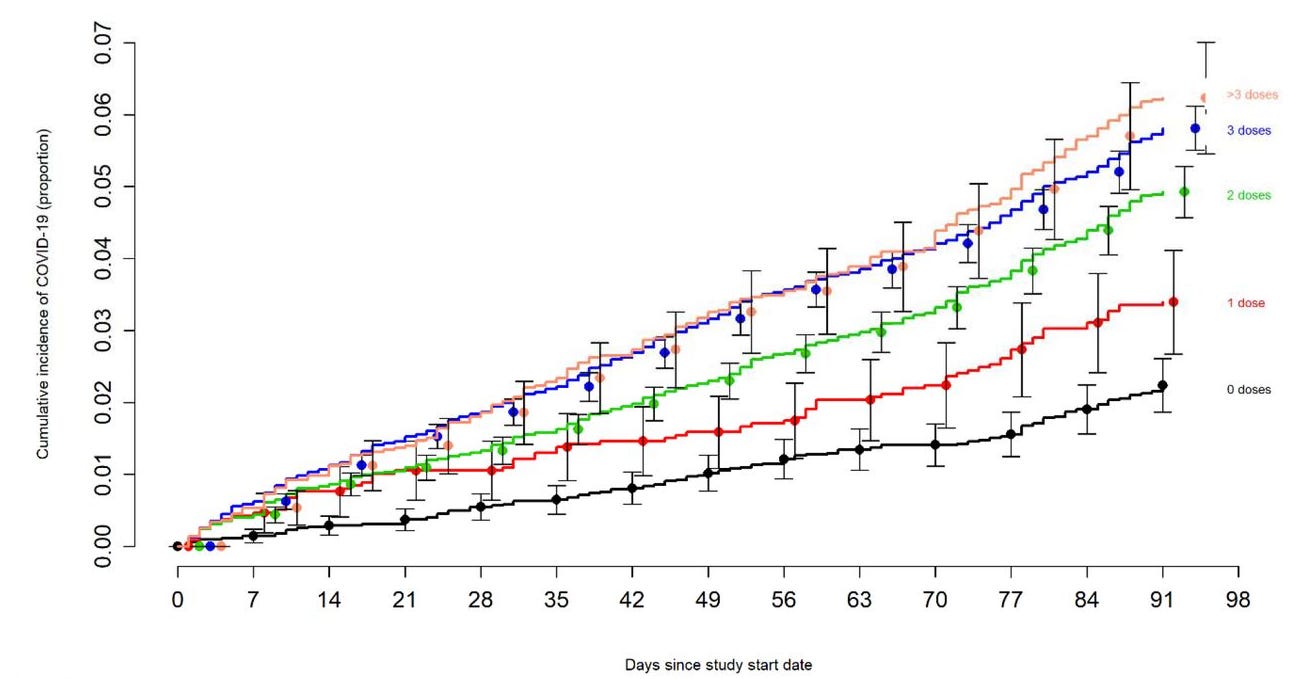
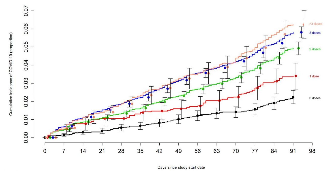
Another light at the end of the tunnel is the famous Cleveland Clinic paper which showed that the more Covid vaccines you received, the more often you got Covid. Recall this damning figure:
It was finally published in Open Forum Infectious Disease here.
Know that this post has been in draft form for probably a couple of months. The last draft I had was going to end with the following “spark of optimism:”
Despite all of the above, I think that the dam of censorship against adverse mRNA vaccine science may be breaking, and potentially breaking rapidly. I say this based on the below paper published last week in the British Medical Journal of Public Health. Note that BMJ is one of the top journals in the world:
I think this paper is historic in that the authors (all from the Netherlands) reported on the correlatyion between vaccination rates and massive excess mortality measured in 47 “western” countries (N. America, Europe and Australia) during the pandemic. Note this conclusion is almost identical to Pantazatos and Seligmanns paper above which was rejected from 30 different journals.
Their rationale for doing the study:
Insight into the excess death rates in the years following the declaration of the pandemic by WHO is crucial for government leaders and policymakers to evaluate their health crisis policies. This study therefore explores excess mortality in the Western World from 1 January 2020 until 31 December 2022.
Some of the key findings from their study:
Excess all-cause mortality in 47 countries of the Western World from 2020 until 2022 was explored, with a total of 3,098,456 excess deaths recorded.
Excess mortality was registered in 87% of countries in 2020, 89% in 2021, and 91% in 2022 (Ed: Why did excess mortality become more prevalent in 2022 when Covid became so much milder and lockdowns had ended?)
"For children aged 0–19 years, the Infection Fatality Rate was set at 0.0003%. This implies that children are rarely harmed by the COVID-19 virus."
"During 2021, when not only containment measures but also COVID-19 vaccines were used to tackle virus spread and infection, the highest number of excess deaths was recorded: 1,256,942 excess deaths (P-score 13.8%)."
"Excess mortality has remained high in the Western World for three consecutive years, despite the implementation of COVID-19 containment measures and COVID-19 vaccines. This is unprecedented and raises serious concerns."
One sentence in the discussion section also caught my eye:
Autopsies to confirm actual death causes are seldom done. You don’t say.
Other damning statements appeared that “we” have been trying to enter into public discussion for years now:
Previous research confirmed profound under-reporting of adverse events, including deaths, after immunisation.
Consensus is also lacking in the medical community regarding concerns that mRNA vaccines might cause more harm than initially forecasted.
French studies suggest that COVID-1 mRNA vaccines are gene therapy products requiring long-term stringent adverse events monitoring.
Although the desired immunisation through vaccination occurs in immune cells, some studies report a broad biodistribution and persistence of mRNA in many organs for weeks.
Batch-dependent heterogeneity in the toxicity of mRNA vaccines was found in Denmark.
Simultaneous onset of excess mortality and COVID-19 vaccination in Germany provides a safety signal warranting further investigation.
Despite these concerns, clinical trial data required to further investigate these associations are not shared with the public.
These are, to me, shockingly honest and powerful concerns raised in one of the top journals in the world.
Now, unsurprisingly and in keeping with the theme of this post, as soon as that paper was published, all hell broke loose, best summarized by the investigative journalist Sonia Elijah on her Substack here.
Briefly, what happened next was that The Telegraph wrote an article with the headline: “Covid vaccines may have helped fuel rise in excess deaths.” It got serious attention, apparently triggering 68 media outlets to follow suit.
Next, the research center affiliated with 3 of the 4 authors quickly issued a statement trying to distance itself from the publication. This is a copy of the letter form Sonia’s post (her bolding):
This then caused the BMJ to issue an “expression of concern” as follows:
The integrity team and editors are investigating issues raised regarding the quality and messaging of this work. The Princess Máxima Centre, which is listed as the affiliation of three of the four authors, is also investigating the scientific quality of this study. The integrity team has contacted the institution regarding their investigation.
Readers should also be alerted to misreporting and misunderstanding of the work. It has been claimed that the work implies a direct causal link between COVID-19 vaccination and mortality. This study does not establish any such link. The researchers looked only at trends in excess mortality over time, not its causes. The research does not support the claim that vaccines are a major contributory factor to excess deaths since the start of the pandemic. Vaccines have, in fact, been instrumental in reducing the severe illness and death associated with COVID-19 infection.
So they respond with .. lies. Oh well.
And that folks, is how you get to the terrible state of modern Science as graphically depicted below:
As you can see above, although a “red asterisk” of data might occasionally appear in the peer-reviewed literature, the vast majority are kept out and that is how you have an entire globe running on a fraudulent and extremely dangerous (lethal in fact) “scientific consensus.”
I will end here with the last few paragraphs of the BMJ paper. Again, at the risk of repeating myself, after 4 years of immense scientific and media censorship, to read the below in a high-impact medical journal is, to me, promising for the future of Science:
In conclusion, excess mortality has remained high in the Western World for three consecutive years, despite the implementation of COVID-19 containment measures and COVID-19 vaccines. This is unprecedented and raises serious concerns. During the pandemic, it was emphasised by politicians and the media on a daily basis that every COVID-19 death mattered and every life deserved protection through containment measures and COVID-19 vaccines. In the aftermath of the pandemic, the same morale should apply. Every death needs to be acknowledged and accounted for, irrespective of its origin. Transparency towards potential lethal drivers is warranted. Cause-specific mortality data therefore need to be made available to allow more detailed, direct and robust analyses to determine the underlying contributors. Postmortem examinations need to be facilitated to allot the exact reason for death. Government leaders and policymakers need to thoroughly investigate underlying causes of persistent excess mortality and evaluate their health crisis policies.
I am heartened by the fact that the authors conclusion above is nearly identical to the conclusions of me and Mary Beth Pfeiffer’s multiple Op-Ed’s on the excess mortality and rising cancer rates associated with the Covid vaccine campaign:
*If you value the time and effort I put into researching and writing my posts, Op-Ed’s and pro-bono doctor defenses, support in the form of paid subscriptions would be appreciated.































READ DISSOLVING ILLUSIONS!
Dear Dr. Kory,
Thank you for battling this monster over and over and for putting all of this horrifying information in one place. Even after 4 years of living "down in the rabbit hole" it is still unbelievable to me the sheer evil and corruption and disregard for human lives and suffering that those in charge represent.
I have read every book I could get my hands on, including Turtles and RFK Fauci book and all the great ivermectin books by you and others (and traditional vaccine books still on my shelves also that I was read even back in the 1980s when my children were babies, because even then I felt an uneasiness and pediatricians blew me off).
BUT finally I worked my way down my enormous stack and reached Dissolving Illusions written in 2013 by Humphries and Bystrianyk. Holy cow!!! EVERYONE PLEASE READ THIS BOOK!!!!!!! This takes the lies and corruption of the medical "experts" and government bureaucrats to a new much deeper level and spans over 150 years of lies and vaccine ineffectiveness deaths and harms. It is mind blowing- using primarily the actual text from the historical records on smallpox, measles, polio etc. And even in the mid 1800s only a few brave people spoke out or tried to refuse vaccines (and even fewer doctors) and they were immediately demonized. The more things change, sadly the more they stay the same. BUT Dissolving Illusions is a must read for the critical thinkers who read your work. Thank you thank you forever.
"Medical Journals"?
Nah. Big pharma advertisement magazines.